- 23 OCTOBER 2024 · RESEARCH BULLETIN NO. 123
Heterogeneous effects of monetary tightening in response to energy price shocks
Starting in mid-2021, energy prices soared to unprecedented heights. Initially driven by the global post-pandemic rebound, this was exacerbated by the Russian invasion of Ukraine. The euro area economy – heavily dependent on energy imports – experienced significant disruption. Our analysis shows the effects that such a shock has on the economy as a whole, as well as across different households, and how these effects can be mitigated or amplified by the monetary policy response.
Modelling “passive” and “active” policy responses
We assess the implications of two types of monetary policy responses: a “passive” monetary policy response that keeps the real interest rate constant and “active” policies that raise the real rate substantially by responding to inflation measures, such as headline, core or energy inflation. In Bobasu, Dobrew and Repele (2024) we compare the two using a small open economy Heterogenous Agent New Keynesian (HANK) model for the euro area. This approach ties in with and extends other recent research using models with multiple households to analyse energy price shocks and the effect of monetary policy responses.[2]
Our analysis is based on observed differences in both households’ exposure to energy costs and their wealth. The model incorporates energy as both a good households consume in varying amounts and a factor input into production that cannot easily be substituted by using other factor inputs. All energy used in the domestic economy is assumed to be imported. The model is calibrated to euro area data, allowing us to quantify the aggregate and distributional effects of an energy price shock.[3]
Aggregate effects of an energy price shock are inevitably recessionary
Using our model, we show that an increase in foreign energy prices has adverse economic consequences regardless of the monetary policy response. Since energy is not domestically produced, an increase in its price constitutes a wealth transfer from the domestic to the foreign economy. However, a passive policy response can mitigate the economic consequences, whereas active policy responses exacerbate them through adverse effects on aggregate demand.
Active policy responses amplify the effects through three complementary channels. First, raising the real interest rate encourages households to save more. Households therefore cut their consumption back further, triggering an additional decline in domestic aggregate demand. Second, higher real interest rates cause the exchange rate to appreciate substantially. This makes domestic goods more expensive and so lowers foreign demand for them. Third, a lower pass-through of inflation due to higher interest rates implies a smaller decline in real wages. This lowers the incentives for domestic firms to substitute labour for energy, implying an overall stronger decline in aggregate labour income.[4]
The key drivers of the aggregate consumption response differ starkly between alternative monetary policy rules. In Chart 1 we break down the consumption response into three effects: a direct effect arising from changes in the real interest rate, an indirect effect arising from changes in labour income and a relative price effect.[5] The latter captures that having to pay more for energy leaves a smaller share of household income to spend on other goods.
Under a passive policy response (Chart 1, panel a), most of the decline in consumption is due to the indirect effect, with an additional but smaller role for the relative price effect. In contrast, under an active policy response (Chart 1, panel b) – for example arising from a Taylor rule targeting headline inflation – the aggregate consumption decline is strongly exacerbated by a direct effect. This direct effect is the main driver under an active response, but completely absent otherwise.
Chart 1
Breakdowns of aggregate consumption for two different policy rules: a rule that keeps the real interest rate fixed and a policy rule that reacts to contemporaneous headline inflation
Panel a | Panel b |
(percentage deviation from steady state)

Sources: Authors’ calculations.
Notes: The chart shows the decomposition of the aggregate consumption response to an energy price shock. The energy price shock is calibrated to a 30% increase in the foreign energy price. The “direct effect” captures the contribution from a change in the real interest rate, while the “indirect effect” captures income effects and the “price effect” captures relative price changes as described in Appendix B in Bobasu, Dobrew and Repele (2024). To gauge the aggregate effects of an energy price shock and how they depend on monetary policy, we contrast a policy rule that keeps the real interest rate fixed (panel a) with a policy rule reacting to contemporaneous headline inflation (panel b). The Y axis denotes percentage deviations from the steady state; the X axis refers to quarters following the shock.
Distributional effects are exacerbated under a more active policy response
Not all households are affected equally by rising energy prices. In fact, households with little wealth should be affected the most. Not only do they spend a larger share of their income on energy-related goods and services, but they also have little or no savings to smooth their consumption in response to shocks. Additionally, they rely on labour income as their main source of income and rarely benefit from either higher interest rates on savings or higher asset prices.
Indeed, in our model households with little wealth are affected the most by an energy price shock. Under a passive policy response, the decline in consumption for less wealthy households is three times larger than that of wealthy households (Chart 2, panel a). However, consumption of wealthy households is barely affected at all. An active policy response amplifies these effects and causes a further reduction in consumption across all households. Interestingly, the larger the increase in policy interest rates, the smaller the reduction in consumption by wealthier households, compared with the less wealthy.
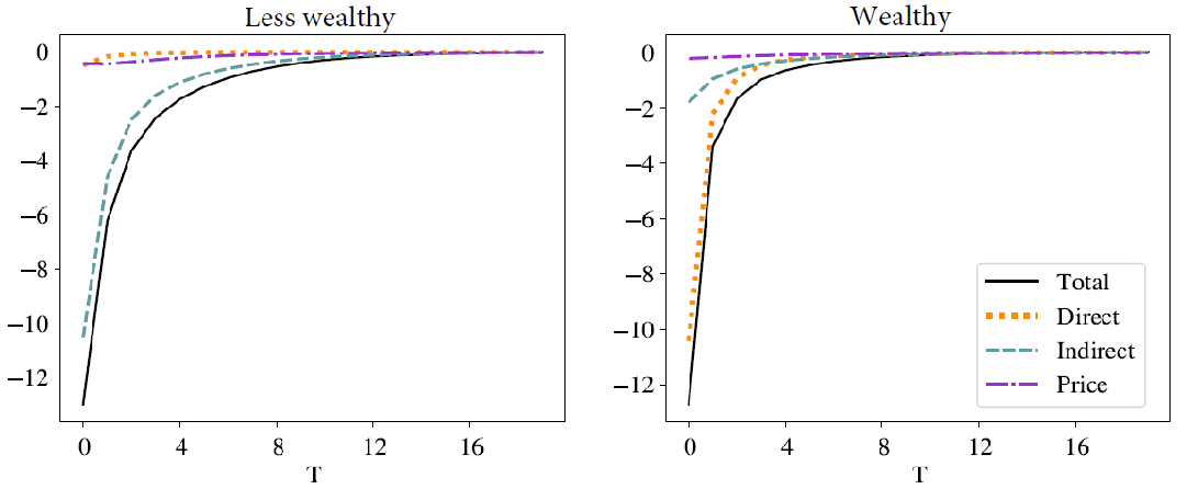
However, the drivers of the consumption response differ starkly between wealthy households and those with little wealth (Chart 2, panel b). The latter are forced to reduce their consumption expenditures because of the indirect effect on labour income. As active policy responses deepen the recession, they also exacerbate this indirect effect, increasing the total impact on less wealthy households.
In contrast, wealthy households choose to consume less and save more to benefit from a higher real interest rate. Their consumption decline is therefore mainly driven by the direct real rate effect. Indirect labour income effects are far less significant, as they have other sources of income and energy price increases have little impact on their consumption.
Chart 2
Consumption response and its breakdown for wealthy and less wealth households
Panel a) Consumption response under a policy rule keeping the real rate fixed and a rule reacting to headline inflation

Panel b) Breakdown of the consumption response into drivers for the policy rule reacting to headline inflation
(percentage deviation from steady state)

Sources: Authors’ calculations.
Notes: in panel a), we plot a comparison of the consumption response of less wealthy and wealthy households under a policy rule that keeps the real interest rate fixed (labelled “constant”) with a policy rule reacting to contemporaneous headline inflation (labelled “headline”) for a 30% increase in foreign energy prices. In panel b), we plot a comparison of the decomposition of the consumption response of wealthy and less wealthy households under the policy rule reacting to contemporaneous headline inflation. The “direct” effect captures the contribution from a change in the real interest rate, the “indirect” effect captures income effects, and the “price” effect captures relative price changes as described in Appendix B in Bobasu, Dobrew and Repele (2024). “Less wealthy” refers to households in the lowest wealth quintile whereas “Wealthy” refers to households the second highest wealth quintile. The Y axis denotes percentage deviations from steady state; the X axis refers to quarters following the shock.
Conclusions
A surge in energy prices like the one seen in 2021-22 inevitably has negative effects on both individual households and macroeconomic outcomes. Nevertheless, we find that the choice of monetary policy response can substantially alter the depth and duration of these effects. Even if energy is mostly imported, the negative effects of a price shock can potentially be mitigated. However, the more active the policy response and the larger the real interest rate increase, the more the recessionary effects are exacerbated. In addition, while wealthy households are less affected by energy prices and can choose to save in order to benefit from the higher interest rates, an active policy response further constrains the consumption of less wealthy households through a sharper decline in labour income.
References
Auclert, A., Monnery, A., Rognlie, M. and Straub, L. (2023), “Managing an energy shock with heterogeneous agents”, NBER Working Paper Series, No 31543, National Bureau of Economic Research, August.
Bobasu, A., Dobrew, M. and Repele, A. (2024), “Energy price shocks, monetary policy and inequality”, Working Paper Series, No 2967, ECB.
Chan, J., Diz, S. and Kanngiesser, D. (2022), “Energy Prices and Household Heterogeneity: Monetary Policy in a Gas-TANK”, Journal of Monetary Economics, p.103620, October.
Gagliardone, L. and Gertler, M. (2023), “Oil Prices, Monetary Policy and Inflation Surges”, NBER Working Paper Series, No 31263, National Bureau of Economic Research, May.
Gali, J. and Monacelli, T. (2005), “Monetary Policy and Exchange Rate Volatility in a Small Open Economy”, The Review of Economic Studies, Vol. 72, No 3, pp.707-734.
Kaplan, G., Moll, B. and Violante, G. L. (2018), “Monetary Policy According to HANK”, American Economic Review, Vol. 108, No 3, pp.697-743.
Pieroni, V. (2023), “Energy shortages and aggregate demand: Output loss and unequal burden from HANK”, European Economic Review, Vol. 154, p.104428, May.
This article was written by Alina Bobasu (Directorate General Economics), Michael Dobrew (Directorate General Monetary Policy) and Amalia Repele (Bocconi University). The authors gratefully acknowledge the comments and suggestions received on the paper underlying this analysis of Niccolò Battistini, Luca Dedola, Maarten Dossche, Zheng Gong, Felix Hammermann, Galo Nuno, Beatrice Pierluigi, Gianluca Violante and Thomas Warmedinger. The authors express their sincere gratitude for the valuable feedback provided by Alex Popov during the editing process of this research article. Additionally, they extend special thanks to Zoë Sprokel and Gareth Budden for their exceptional editing support. The views expressed here are those of the authors and do not necessarily represent the views of the European Central Bank or the Eurosystem.
See for example Auclert et al. (2023) and Pieroni (2023) for analyses using HANK models, Chan et al. (2022) and Gagliardone and Gertler (2023) for models with more limited household heterogeneity.
We take particular care in matching the heterogeneity observed in household consumption baskets using Eurostat’s “Household budget survey (HBS)” and “Income, wealth and consumption statistics (ICWS)”.
In Bobasu, Dobrew and Repele (2024) we also examine monetary policy rules that react to forecast measures of inflation rather than the actual inflation rate at a given time. We find that such forecasting rules can help mitigate the adverse effects of an energy price shock, but only if they are sufficiently passive, keeping the real interest rate nearly constant to avoid amplifying the shock. Additionally, we show that if monetary policy responded to energy price inflation, it could curb inflation in the short term, but this approach would lead to a significant recession and higher inflation in the medium term due to the subsequent recovery.
The decomposition of the total consumption response to an energy price shock follows the approach of Kaplan et al. (2018). For more information, see Appendix B to Bobasu, Dobrew and Repele (2024).

